Ответы
Ответ дал:
0
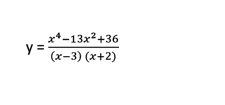
x^4-13x²+36=0
x²=a
a²-13a+36=0
a1+a2=13 U a1*a2=36
a1=4⇒x²=4⇒x=-2 u x=2
a2=9⇒x²=9⇒x=-3 u x=3
y=(x-2)(x+2)(x-3)(x+3)/[(x-3)(x+2)]=(x+3)(x-2),x≠3 U x≠-2
y=x²+x-6=(x²+2x*0,5+0,25)-6,25=(x+0,5)²-6,25
Парабола у=х²,ветви вверх,вершина (-0,5;-6,25),точки пересечения с осями (-3;0);(2;0);(0;-6)
Точки (3;6) и (-2;-4) выколоты
x²=a
a²-13a+36=0
a1+a2=13 U a1*a2=36
a1=4⇒x²=4⇒x=-2 u x=2
a2=9⇒x²=9⇒x=-3 u x=3
y=(x-2)(x+2)(x-3)(x+3)/[(x-3)(x+2)]=(x+3)(x-2),x≠3 U x≠-2
y=x²+x-6=(x²+2x*0,5+0,25)-6,25=(x+0,5)²-6,25
Парабола у=х²,ветви вверх,вершина (-0,5;-6,25),точки пересечения с осями (-3;0);(2;0);(0;-6)
Точки (3;6) и (-2;-4) выколоты
Приложения:
Вас заинтересует
3 года назад
3 года назад
8 лет назад
10 лет назад
10 лет назад
11 лет назад