Пожалуйста помогите решить уравнение, от этого зависит моя оценка! ПОЖАЛУЙСТА УМОЛЯЮ!!!
Приложения:

Ответы
Ответ дал:
0
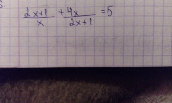
2x+1:x+4x:2x+1=5
2x+4x:2x=5-1-1
4x=4
x=4:4
x=1
2x+4x:2x=5-1-1
4x=4
x=4:4
x=1
Ответ дал:
0
У тебя там ошибка, 5-1-1 это 3, а не 4
Ответ дал:
0
Да, сорян
Ответ дал:
0
тогда там
Ответ дал:
0
4x=3
Ответ дал:
0
x=3/4 (это дробь)
Вас заинтересует
2 года назад
7 лет назад
7 лет назад
10 лет назад
10 лет назад
10 лет назад