• Предмет: Алгебра
  • Автор: SashaQUAT
  • Вопрос задан 10 лет назад

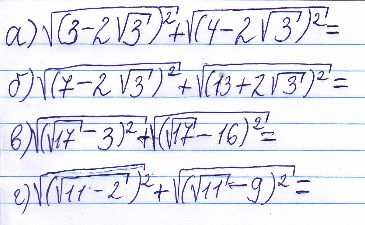
Здравствуйте ! Пожалуйста , помогите сделать задание по алгебре (тема:квадратный корень и арифметический квадратный корень) ...
Задание : упростить выражение (примеры во вложении) . СПАСИБО Вам ОГРОМНОЕ за помощь и внимание !!!!!

Приложения:

Ответы

Ответ дал: Аноним
0
смотри файл...............................................
Приложения:
Ответ дал: SashaQUAT
0
Огромное спасибо Вам !!!
Ответ дал: Аноним
0
хорошо)))
Вас заинтересует