Ответы
Ответ дал:
0
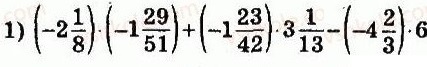
Вычислить может быть?)
1) -2
=
= 
2) -1
=
= 
Перемножаем их:
*
=
*
= 
3) -1
=
= 
4) 3
=
= 
Перемножаем:
*
=
*
=
5) -4
=
= 
И умножим на 6 эту лабудень:
* 6 = -28
Сложим получившиеся результаты:
+ (
) - (-28) =
-
+
=
=
= 26 
1) -2
2) -1
Перемножаем их:
3) -1
4) 3
Перемножаем:
5) -4
И умножим на 6 эту лабудень:
Сложим получившиеся результаты:
Вас заинтересует
3 года назад
8 лет назад
10 лет назад
10 лет назад
11 лет назад