• Предмет: Алгебра
  • Автор: aynurka1098
  • Вопрос задан 11 лет назад

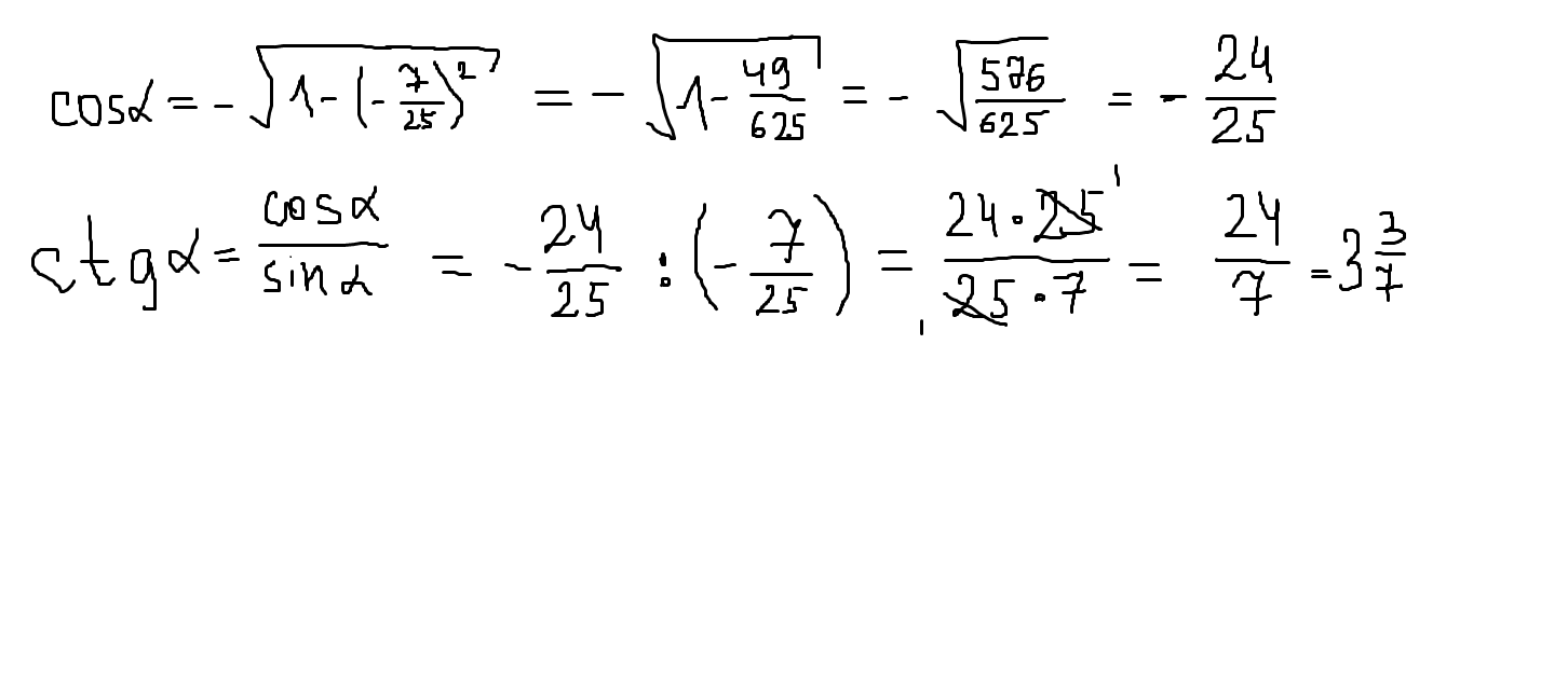
найдите cosa и ctg,если sina=-7/25 и a угол в 3 четверти

Ответы

Ответ дал: olya464646
0

все подробно расписала

Приложения:
Вас заинтересует