Ответы
Ответ дал:
0
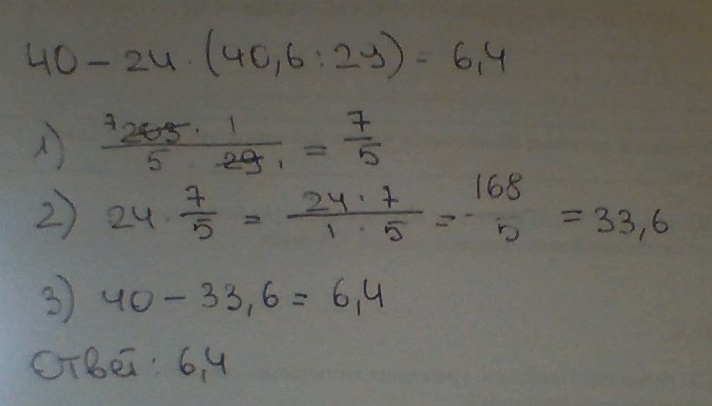
На фотке............
Приложения:

Ответ дал:
0
спасибо большое
Ответ дал:
0
Пожалуйста)
Вас заинтересует
2 года назад
7 лет назад
7 лет назад