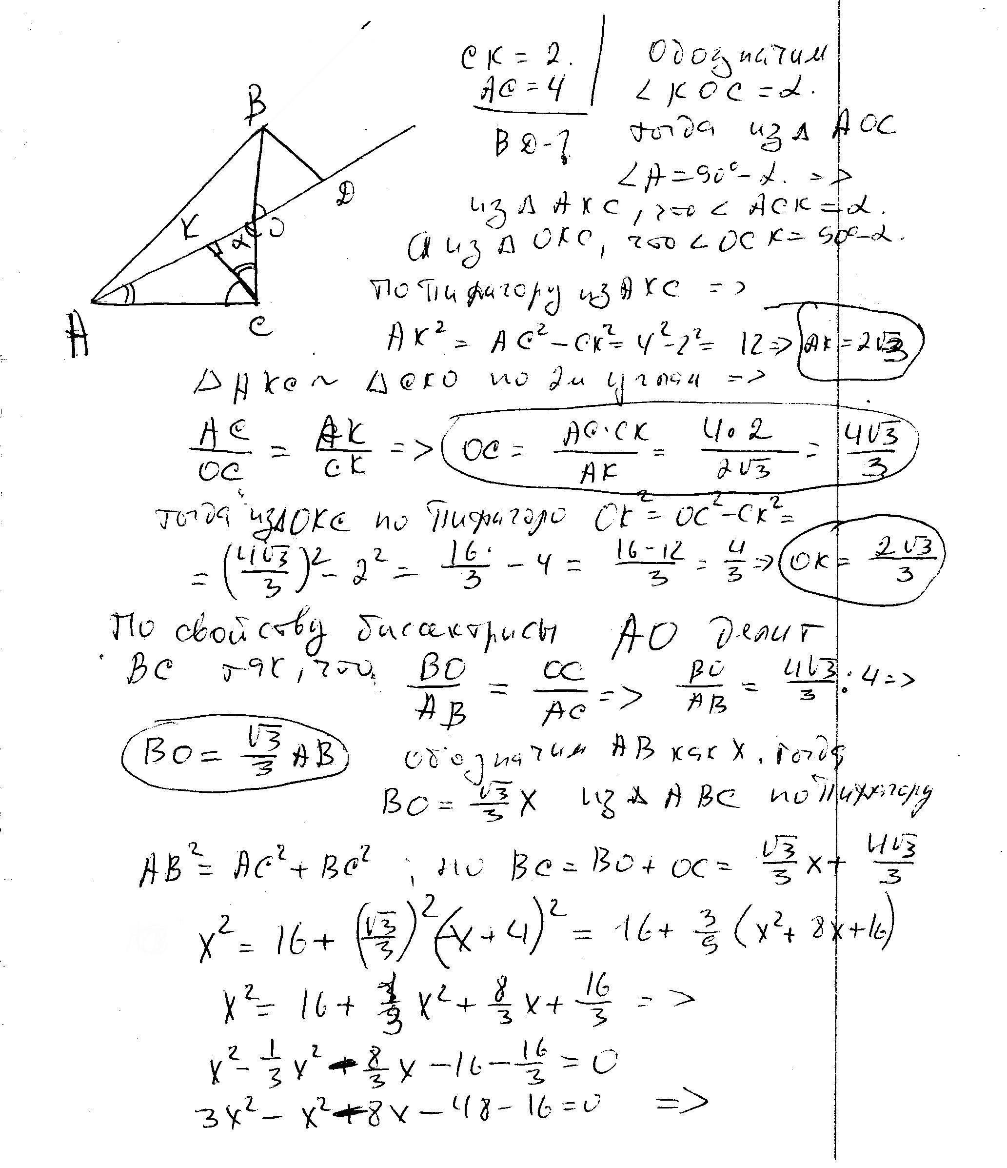
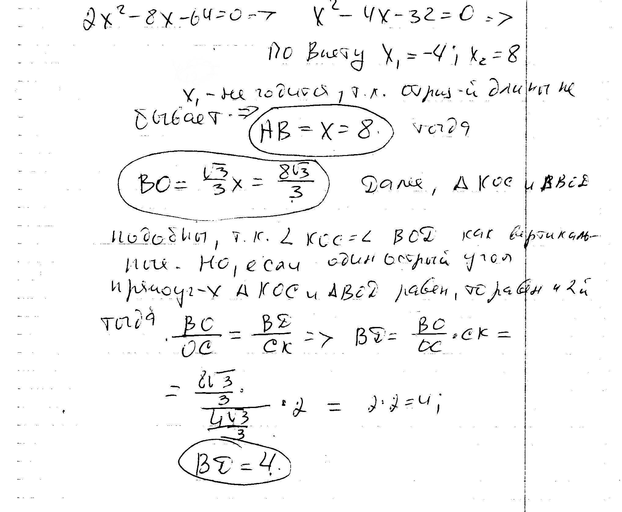
В треугольнике ABC угол C - прямой, АС = 4. Чему равно расстояние от вершины В до биссектрисы угла А если расстояние от вершины С до этой биссектрисы равно 2
Ответы
Ответ дал:
0
решение в скане...............
Приложения:


Вас заинтересует
2 года назад
7 лет назад
9 лет назад
9 лет назад