Ответы
Ответ дал:
0
4х+3|х+5=0
4х+3|х=-5
4х^2+3(под всэм этим х)=-5
4х+3=-5
4х=-8
х=-2??
4х+3|х=-5
4х^2+3(под всэм этим х)=-5
4х+3=-5
4х=-8
х=-2??
Ответ дал:
0
как-то так)
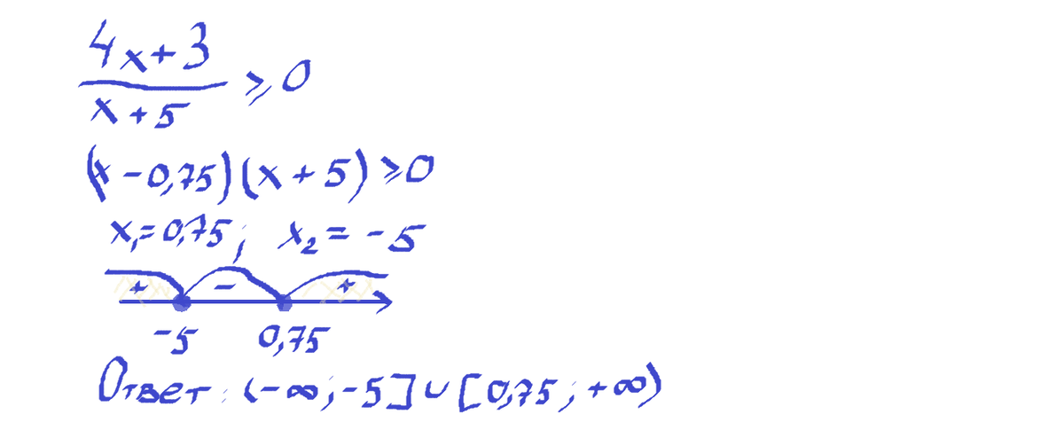
Для объяснения, чтобы понимал/а, откуда это получилось.
где 4х+3, приравниваем к 0,
4х+3=0
4х=-3
х=- 3/4
х=-0,75
Для объяснения, чтобы понимал/а, откуда это получилось.
где 4х+3, приравниваем к 0,
4х+3=0
4х=-3
х=- 3/4
х=-0,75
Приложения:

Вас заинтересует
2 года назад
2 года назад
7 лет назад
9 лет назад
10 лет назад