Ответы
Ответ дал:
0
______________________________
Приложения:

Ответ дал:
0
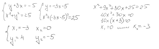
у+3х=-5 y=-5-3x
х^2+у^2=25 x^2+(-5-3x)^2=25
x^2+(25+30x+9x^2)=25
x^2+25+30x+9x^2-25=0
10x^2+30x=0
10x(x+3)=0
10x=0 x+3=0 y1=-5-3*0 y2=-5-3*-3
x1=0 x2=-3 y1=-5 y2=-5+9=4
Приложения:

Вас заинтересует
2 года назад
2 года назад
8 лет назад
8 лет назад
10 лет назад
10 лет назад