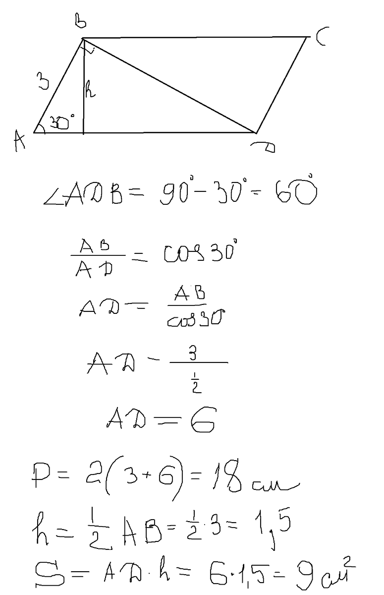
Найдите периметр и площадь параллелограмма с углом 30 градусов, если его диагональ перпендикулярна стороне 3 см.
ПОМОГИТЕ ПОЖАЛУЙСТА!
Ответы
Ответ дал:
0
решение в приложенном файле
Приложения:

Вас заинтересует
2 года назад
2 года назад
7 лет назад
7 лет назад
9 лет назад
10 лет назад
10 лет назад