• Предмет: Математика
  • Автор: TheWalkingDead11
  • Вопрос задан 10 лет назад

ребята,помогите плизз...если не сложно..можно с решение..очень надо!

Приложения:

Ответы

Ответ дал: OPetroW
0
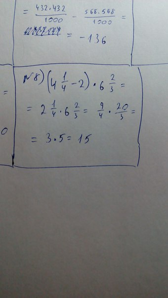
Вот в фотографии вроде бы всё написал. Если что - комментируй. 
Приложения:
Ответ дал: OPetroW
0
На фотографиях на все примеры есть ответы
Ответ дал: TheWalkingDead11
0
у меня не все видно..только 1 и 4
Ответ дал: OPetroW
0
Там я разместил 5 фотографий. 1 и 4 номера только на 1 фотографии
Ответ дал: TheWalkingDead11
0
прости..что от меня у тебя..так много проблем....но можешь еще раз сфоткать номер два и три.?
Ответ дал: OPetroW
0
http://ru.static.z-dn.net/files/d9b/5ab991ed346c7bb353842c9c205dc70a.jpg
Вас заинтересует