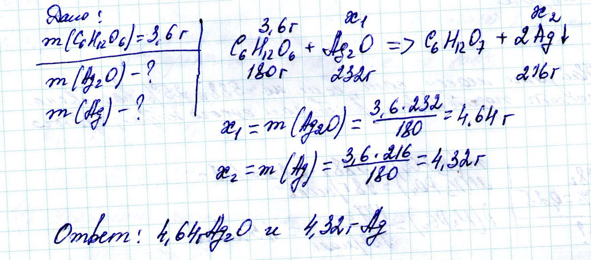
1. В реакцию серебряного зеркала вступила глюкоза массой 3,6 г. Какая масса оксида серебра затратится и какая масса чистого серебра выделится?
Ответы
Ответ дал:
0
Решение задачи см. во вложении
Приложения:
Вас заинтересует
2 года назад
2 года назад
8 лет назад
8 лет назад
10 лет назад
10 лет назад
10 лет назад