• Предмет: Математика
  • Автор: mikuwi
  • Вопрос задан 10 лет назад

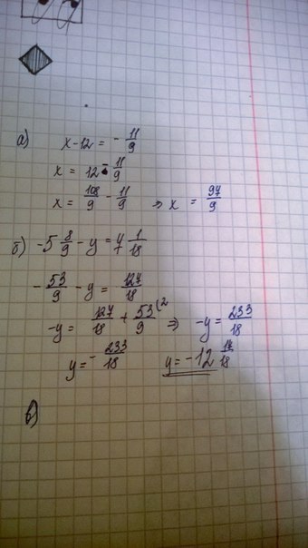
Решите уравнение а) x - 12= -1 1/9 б)-5 8/9-y= 7 1/18

Ответы

Ответ дал: Katrin20031
0
х-12=-11/9
х=12-(-11/9)
х=13 2/9


-5 8/9-у=7 1/18
у=-5 8/9-7 1/18
у=-12 17/18
Ответ дал: mikuwi
0
спасибо
Ответ дал: LinguaApple
0
Надеюсь я нигде не ошиблась
Приложения:
Вас заинтересует