• Предмет: Алгебра
  • Автор: кама521
  • Вопрос задан 10 лет назад

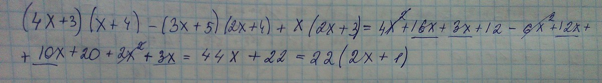
(4x+3)(x+4)-(3x+5)(2x+4)+x(2x+3) докажите, что значения выражения

Ответы

Ответ дал: Юленька194
0
если есть вопросы-пишите
Приложения:
Вас заинтересует