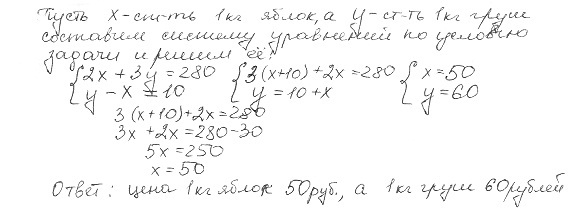
два килограмма яблок и 3 кг. груш вместе стоят 280 руб. причем 1 кг. груш дороже 1 кг. яблок на 10 руб. сколько стоит 1 кг яблок и 1 кг. груш? пусть х- стоимость 1 кг яблок, а у- стоимость 1 кг груш. выберите систему уравнений, соответствующих условию задачи.
Ответы
Ответ дал:
0
можно было решить и без системы уравнений через одну переменную, но раз нужна система, то... мой вариант решения во вложении
Приложения:

Вас заинтересует
2 года назад
2 года назад
8 лет назад
8 лет назад
10 лет назад
10 лет назад
10 лет назад