• Предмет: Алгебра
  • Автор: NastyaBernik
  • Вопрос задан 11 лет назад

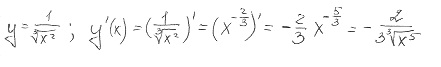
Помогите вычислить производную функции!!!! Пожалуйстааааааааааа!!!!!!!

Приложения:

Ответы

Ответ дал: Ellenochka
0

* второй пример у меня не отображается((

Приложения:
Вас заинтересует