• Предмет: Математика
  • Автор: matrix4
  • Вопрос задан 10 лет назад

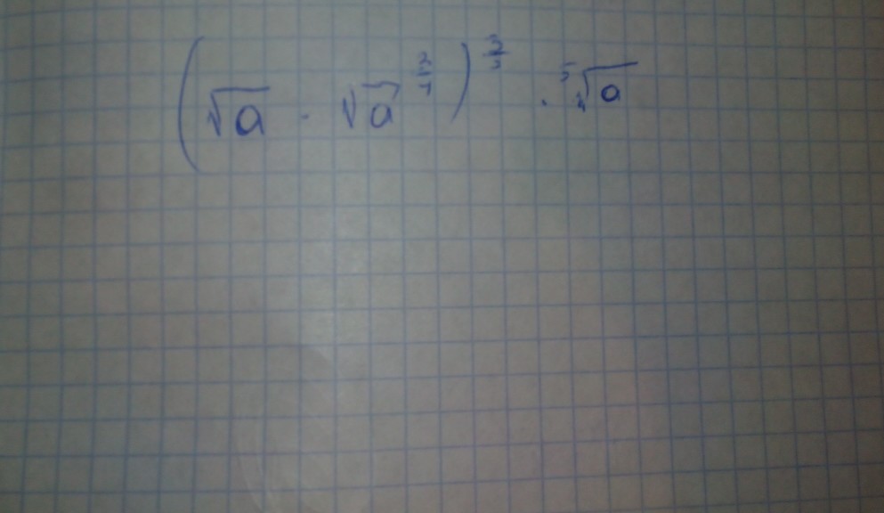
Помогите решить пример

Приложения:

Ответа на этот вопрос пока нет. Попробуйте найти его через форму поиска.

Вас заинтересует