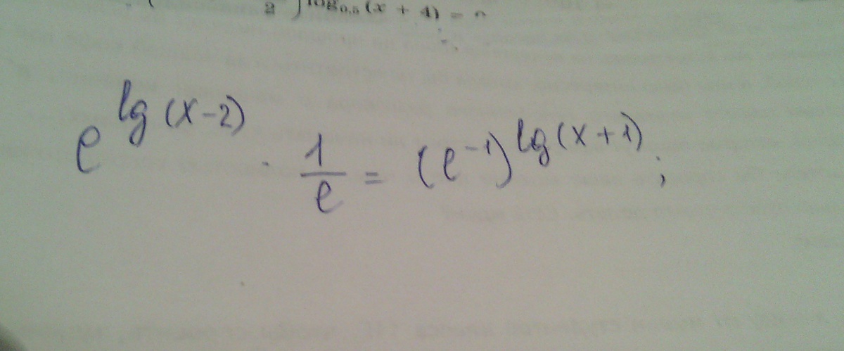
Помогите с алгеброй пожалуйста . решите уравнение е ^lg (x-2) * 1/e = (e ^-1)^lg(x+1)
Приложения:
Ответы
Ответ дал:
0
Можно написать: lg(x-2)+lg(x+1) =1, приравняв показатели степени.
Тогда (х-2)*(х-1)=1
х*х-3х+2=1
х*х-3х+2,25=1,25
(х-1,5)*(х-1,5)=0.5*0,5*5
х=1,5+0,5*sqrt(5)
Второй корень не годится по ОДЗ (выражение под знаком первого логарифма станет отрицательно)
Тогда (х-2)*(х-1)=1
х*х-3х+2=1
х*х-3х+2,25=1,25
(х-1,5)*(х-1,5)=0.5*0,5*5
х=1,5+0,5*sqrt(5)
Второй корень не годится по ОДЗ (выражение под знаком первого логарифма станет отрицательно)
Вас заинтересует
2 года назад
2 года назад
8 лет назад
10 лет назад
10 лет назад
10 лет назад