• Предмет: Геометрия
  • Автор: alinochkaross
  • Вопрос задан 10 лет назад

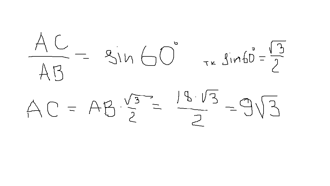
B=60 градусов
AB=18
Найти: AC
Тема: соотношения между сторонами и углами в прямоугольном треугольнике

Приложения:

Ответы

Ответ дал: ireena
0
ответ в приложенном файле
Приложения:
Вас заинтересует