• Предмет: Геометрия
  • Автор: fedoseevaVarya
  • Вопрос задан 10 лет назад

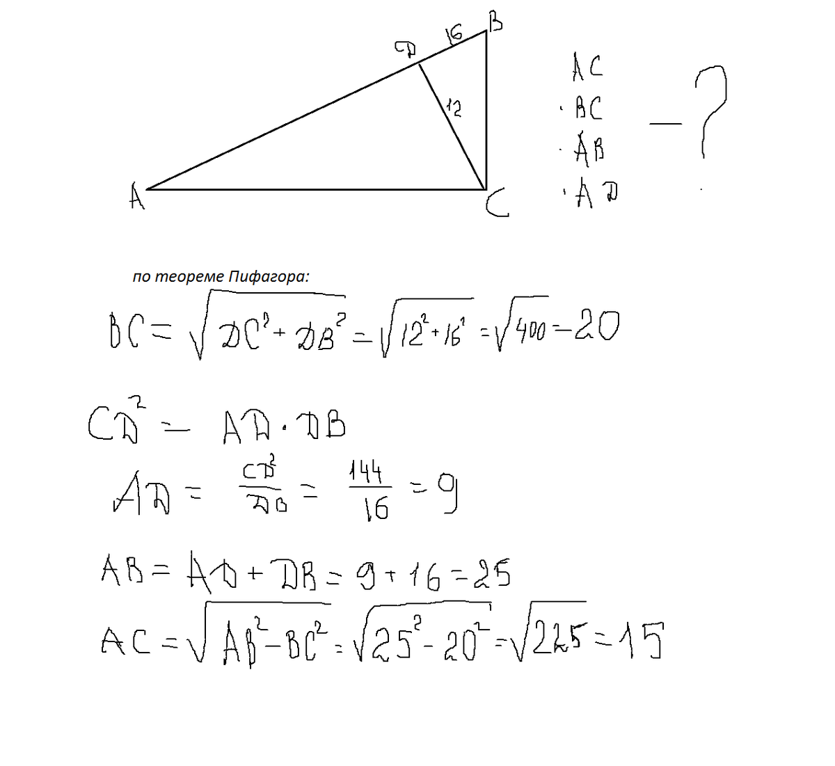
В прямоугольном треугольнике ABC с гипотенузой АВ. Высота CD=12см,BD=16 см. Найти AC,ВС,АВ,АD

Ответы

Ответ дал: ireena
0
решение в приложенном файле
Приложения:
Вас заинтересует