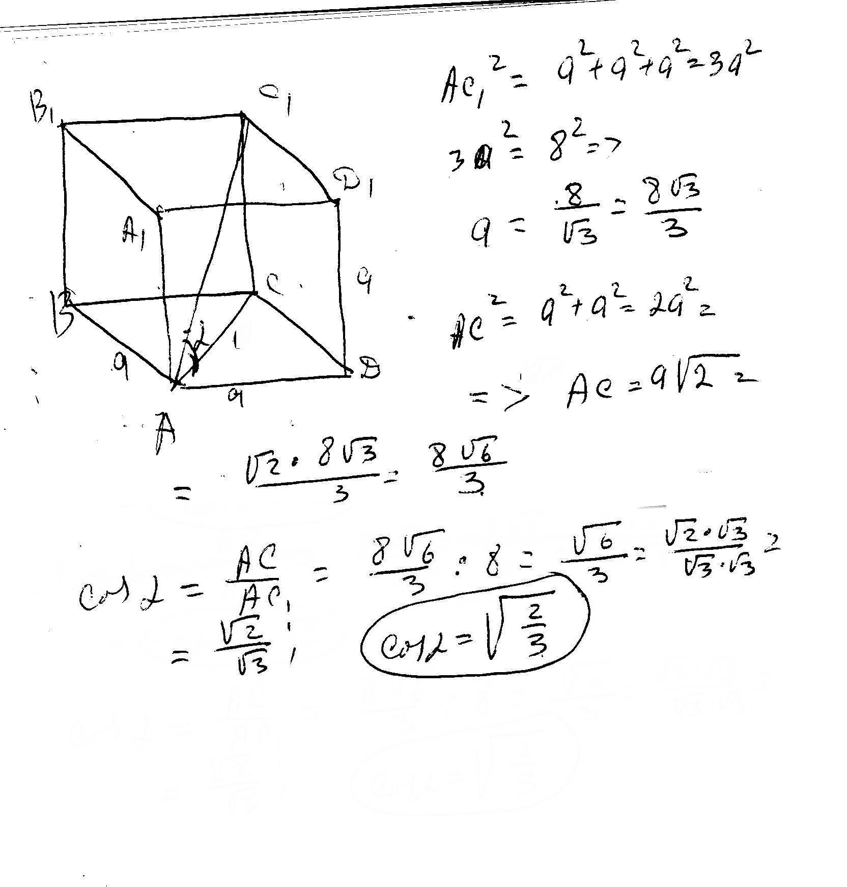
диагональ куба равна 8 см. найти а)ребро куба б)косинус угла между диагональю куба и плоскостью основания
Ответы
Ответ дал:
0
диагональ куба равна 8 см. найти а)ребро куба б)косинус угла между диагональю куба и плоскостью основания
Приложения:

Вас заинтересует
2 года назад
2 года назад
8 лет назад
8 лет назад
10 лет назад
10 лет назад
10 лет назад