• Предмет: Алгебра
  • Автор: VеGаS
  • Вопрос задан 11 лет назад

Нужна помощь!

Сократите уравнение:

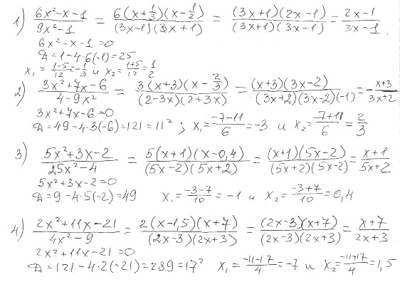
1) 6х²-х-1/9х²-1

2)3х²+7х-6/4-9х²

3)5х²+3х-2/25х²-4

4)2х²+11х-21/4х²-9

Ответы

Ответ дал: Ellenochka
0

_______________________________

Приложения:
Вас заинтересует