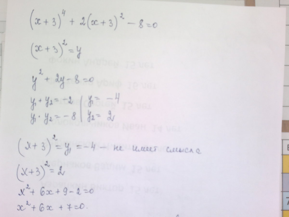
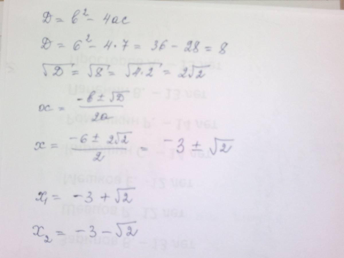
Помогите, пожалуйста, с 21 заданием ОГЭ по математике. Буду очень признательна, если Вы объясните как решать это уравнение:
(x+3)^4+2(x+3)^2-8=0
Ответы
Ответ дал:
0
Пишите, если что не так
Приложения:


Ответ дал:
0
Спасибо вам большое! Вы очень меня выручили :)
Ответ дал:
0
Пожалуйста
Вас заинтересует
2 года назад
2 года назад
7 лет назад
7 лет назад
10 лет назад
10 лет назад