Ответы
Ответ дал:
0
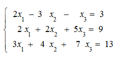
Основная матрица А:
2 -3 -1
2 2 5
3 4 7
|A|=28-8-45+6+42-40=-17
матрица Х1:
3 -3 -1
9 2 5
13 4 7
|X1|=42-36-195+26+189-60=-34
матрица Х2:
2 3 -1
2 9 5
3 13 7
|X2|=126-26+45+27-42-130=0
матрица Х3:
2 -3 3
2 2 9
3 4 13
|X3|=52+24-81-18-72+78=-17
x1=-34/(-17)=2
х2=0
х3=1
Проверка:
4-1=3
4+5=9
6+7=13
верно
2 -3 -1
2 2 5
3 4 7
|A|=28-8-45+6+42-40=-17
матрица Х1:
3 -3 -1
9 2 5
13 4 7
|X1|=42-36-195+26+189-60=-34
матрица Х2:
2 3 -1
2 9 5
3 13 7
|X2|=126-26+45+27-42-130=0
матрица Х3:
2 -3 3
2 2 9
3 4 13
|X3|=52+24-81-18-72+78=-17
x1=-34/(-17)=2
х2=0
х3=1
Проверка:
4-1=3
4+5=9
6+7=13
верно
Вас заинтересует
2 года назад
2 года назад
8 лет назад
8 лет назад
10 лет назад
10 лет назад
10 лет назад