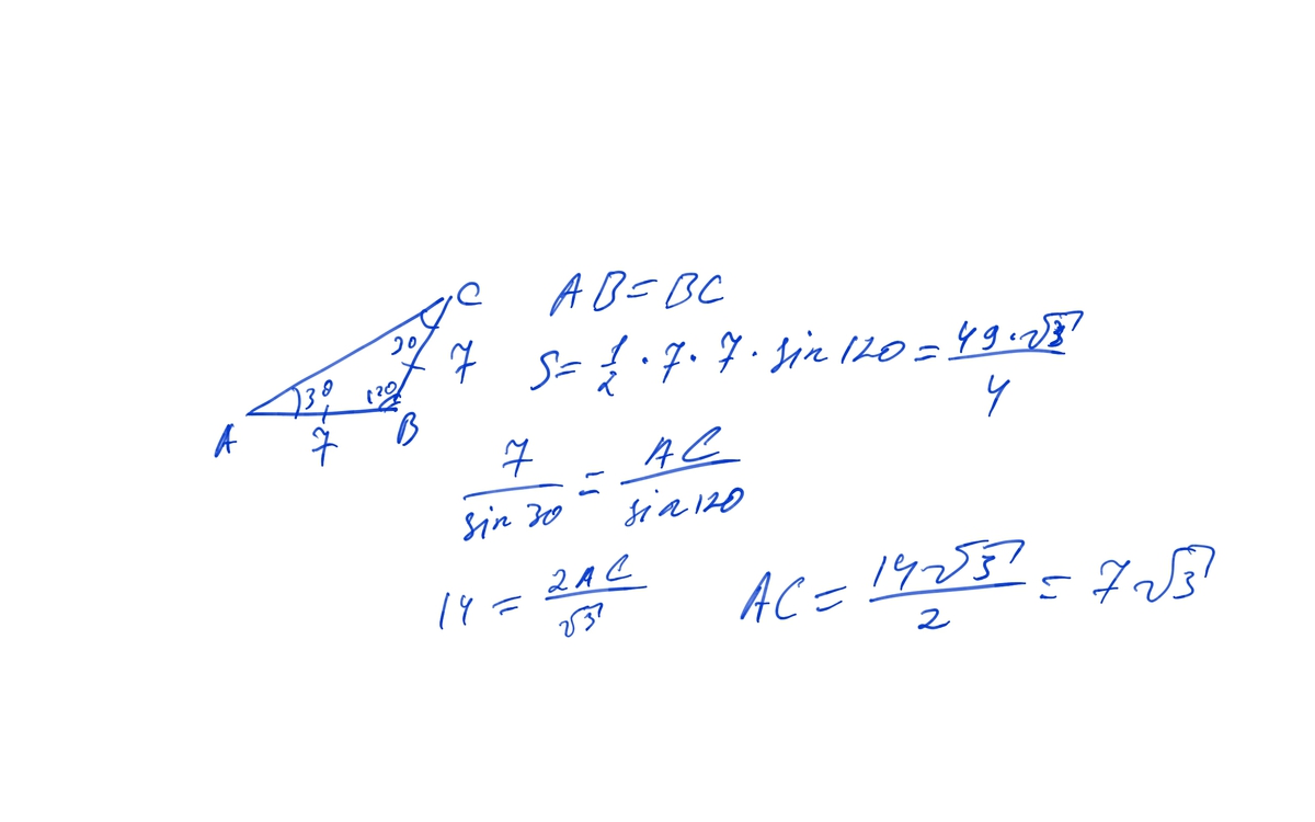
В треугольнике ABC угол C=30 градусов, AB=7, а угол между сторонами AB и BC равен 120 градусов. Найдите
а) Сторону AC
б) Площадь треугольника
Ответы
Ответ дал:
0
треугольник равнобедренный т.к. в нем два угла равны
Приложения:
Ответ дал:
0
кут А = 180°-(120°+30°)= 30° кут А = кут С,
отже АВС - рівнобедренний. Тому АС=АВ=7см.
проводимо висоту ВК. ВК = 7см * sin30° = 3,5 cм
АС/sin120° = АВ/sin30°. AС/sin120° =7/ sin30. 2АС/√3 = 14. АС =7√3cm
S=1/2* a*h=1/2*3,5*7√3=12,25√3
отже АВС - рівнобедренний. Тому АС=АВ=7см.
проводимо висоту ВК. ВК = 7см * sin30° = 3,5 cм
АС/sin120° = АВ/sin30°. AС/sin120° =7/ sin30. 2АС/√3 = 14. АС =7√3cm
S=1/2* a*h=1/2*3,5*7√3=12,25√3
Приложения:
Вас заинтересует
3 года назад
8 лет назад
8 лет назад
10 лет назад
10 лет назад
10 лет назад