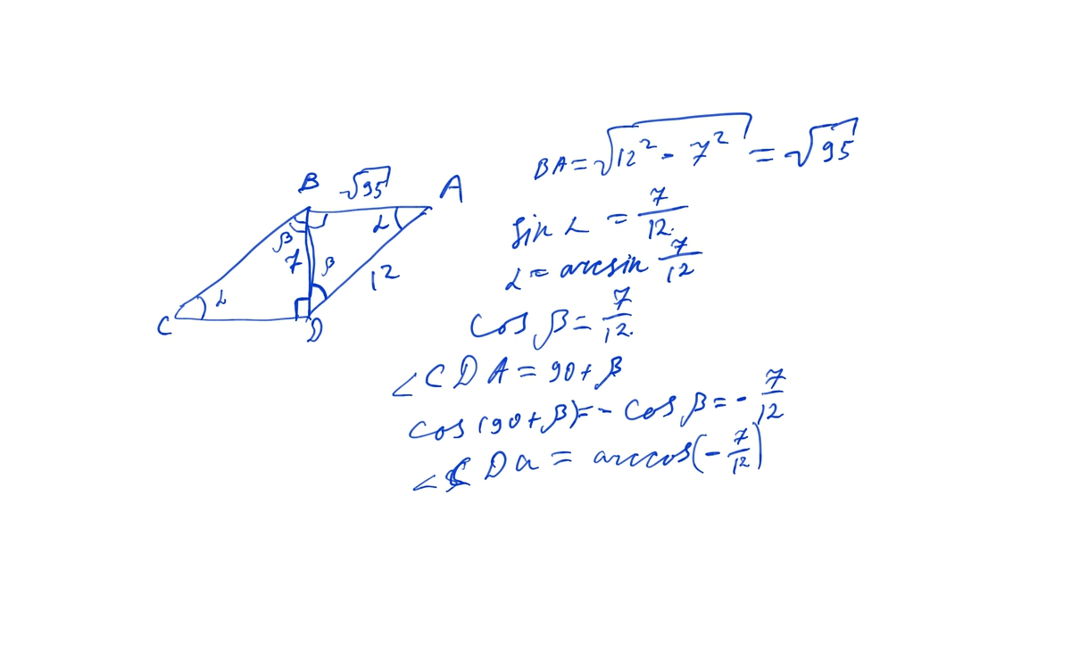
сторона AD параллелограмма ABCD равна 12 см, диагональ BD перпендикулярна АВ, ВD=7см. Найти углы параллелограмма.
Ответы
Ответ дал:
0
прошу прощения за рисунок, чертил от руки
Приложения:

Ответ дал:
0
Спасибо большое!
Вас заинтересует
2 года назад
7 лет назад
7 лет назад
10 лет назад
10 лет назад
10 лет назад
10 лет назад