• Предмет: Алгебра
  • Автор: skaid
  • Вопрос задан 10 лет назад

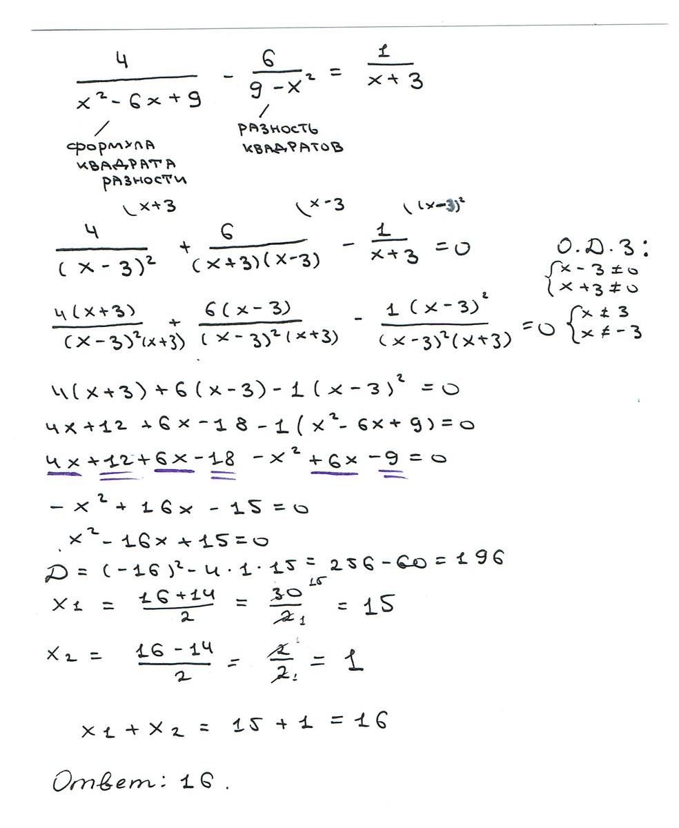
18 номер помогите решить

Приложения:

Ответы

Ответ дал: Tomkaya
0
...........................
Приложения:
Вас заинтересует