• Предмет: Алгебра
  • Автор: Julia0fox
  • Вопрос задан 10 лет назад

Помогите решить неравенство!
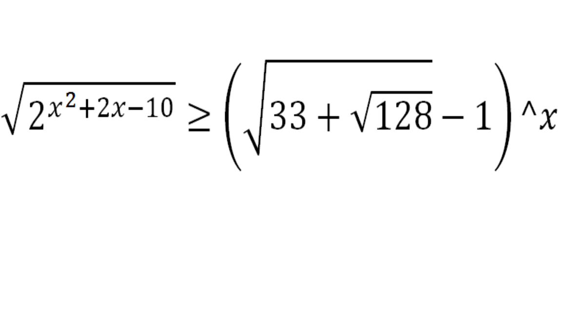
√(2^(x^2+2x-10) ) ≥ (√(33+√128) -1)^x

Приложения:

Ответы

Ответ дал: NNNLLL54
0
sqrt{2^{x^2+2x-10}} geq (sqrt{33+sqrt{128}}-1)^{x}\\33+sqrt{128}=33+sqrt{4cdot 32}=33+2sqrt{32}=32+2sqrt32+1=(1+sqrt{32})^2\\sqrt{33+sqrtP{128}}-1=sqrt{(1+sqrt{32})^2}-1=|1+sqrt{32}|-1=\\=1+sqrt{32}-1=sqrt{32}=sqrt{2^5}=2^frac{5}{2}\\\2^{frac{x^2+2x-10}{2} }geq 2^{frac{5}{2}x}\\Tak; kak; 2 textgreater  1,; to; ;  frac{x^2+2x-10}{2}  geq frac{5}{2}x, |cdot 2\\x^2+2x-10 geq 5x\\x^2-3x-10 geq 0; ; ; (x_1=-2,; x_2=5,; ; teor.; Vieta)\\(x-5)(x+2) geq 0

Znaki:; ; ++(-2)---(5)+++\\xin (-infty ,-2, ]cup [, 5,+infty )
Вас заинтересует