• Предмет: Алгебра
  • Автор: tipeeva1
  • Вопрос задан 10 лет назад

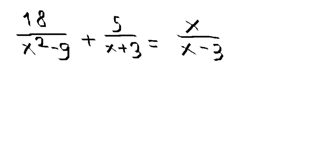
Помогите с уравнением, пожалуйста!

Приложения:

Ответы

Ответ дал: Shamec122
0
.....................
Приложения:
Вас заинтересует