• Предмет: Алгебра
  • Автор: 3467890
  • Вопрос задан 10 лет назад

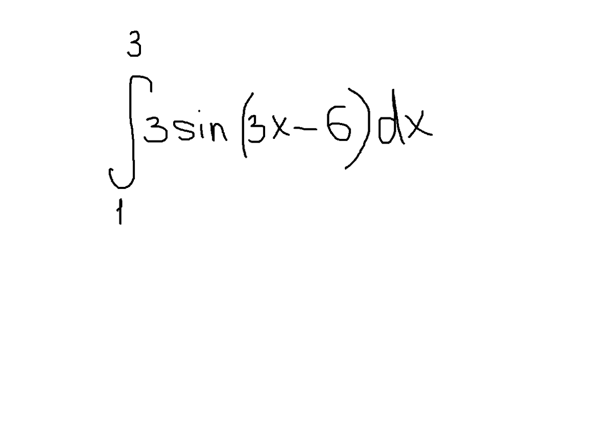
Вычислить интеграл и выполнить проверку : (фото)

Приложения:

Ответа на этот вопрос пока нет. Попробуйте найти его через форму поиска.

Вас заинтересует