• Предмет: Алгебра
  • Автор: mamba8
  • Вопрос задан 10 лет назад

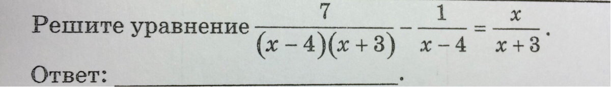
Решите равнение — = А щур Ответ .

Приложения:

Ответы

Ответ дал: АлинаРешетник
0
где 7-1 = х ровно 6, а где ( х-4) (х+3) х-4 х+ 3 =5
Вас заинтересует