• Предмет: Алгебра
  • Автор: Аноним
  • Вопрос задан 11 лет назад

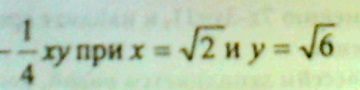
Очень прошу помогите найти значение выражения

Приложения:

Ответы

Ответ дал: katen95
0

Получается -√2*√6/4=2√3/4 =-√3/2

Ответ дал: vgg
0

-1/4 * корень2 * корень6= -корень 12/4= -корень 3/2

Вас заинтересует