Найдите жесткость пружины, если прикрепленный к ней груз массой 0,5 кг совершает колебания с частотой 2.5 Гц.
Ответы
Ответ дал:
0
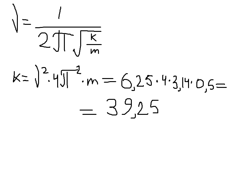
Период колебания T=t/n
T=2*pi*корень кв(m/k)
k=4*pi^2*m*n/t
T=2*pi*корень кв(m/k)
k=4*pi^2*m*n/t
Ответ дал:
0
111111111111111111111111111111111111
Приложения:
Вас заинтересует
3 года назад
3 года назад
8 лет назад
8 лет назад
11 лет назад
11 лет назад
11 лет назад