Ответы
Ответ дал:
0
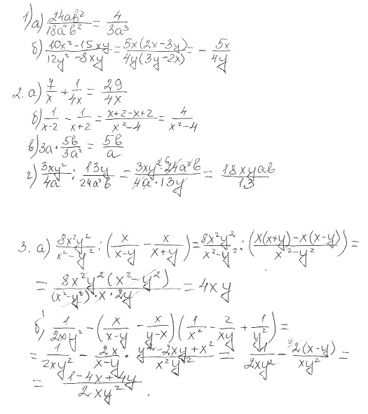
1) / - Это дробь
А : 4/(3a^3)
Б : -5x/(4y)
2)
А : 29/(4x)
Б: 4/(x-2)(x+2)
В : 5b/a
Г : xy/(416a^3)
Ответ дал:
0
надеюсь тут все верно, что не понятно - пиши в личку
Приложения:

Вас заинтересует
2 года назад
8 лет назад
8 лет назад
10 лет назад
10 лет назад
10 лет назад