Ответы
Ответ дал:
0
!!!!!!!!!!!!!!!!!!!!!!!!!!!
Приложения:

Ответ дал:
0
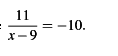
Одно непойму,откуда здесь взялось 90?
Ответ дал:
0
приводим к общему знаменгнателю (х-9), умножаем все члены на этот знаменвтель. -10(х-9=-10х+90
Ответ дал:
0
можно решить методом креста т.е. (х-9)*(-10)= 11*1
-10х-90=11
-10х=11+90
х=-10,1
обязательно ОДЗ:
х-9 больше 0
х больше 9
значит у уравнения нет корней
-10х-90=11
-10х=11+90
х=-10,1
обязательно ОДЗ:
х-9 больше 0
х больше 9
значит у уравнения нет корней
Приложения:

Вас заинтересует
2 года назад
2 года назад
7 лет назад
7 лет назад
10 лет назад
10 лет назад
10 лет назад
10 лет назад