• Предмет: Алгебра
  • Автор: ИванХарченко
  • Вопрос задан 10 лет назад

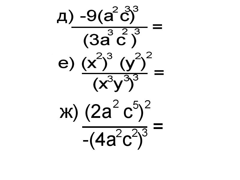
Ребят помогите срочно!Примеры на фото!

Приложения:

Ответа на этот вопрос пока нет. Попробуйте найти его через форму поиска.

Вас заинтересует