Ставлю 80 баллов. Помогите!
Лучник стреляет в дракона, у него в колчане есть 8 стрел, вероятность того, что он попадет = 5/7, а промахнется = 2/7 соответственно. Чтобы убить дракона нужно попасть в него не менее 3-х раз. С какой вероятностью он убьет дракона?
Ответы
Ответ дал:
0
Вероятность поражения цели при одном выстреле - 
Производится 8 выстрелов.
Нужно найти вероятность поражения хотя бы 3 раз.
Итак. Производится 8 независимых испытаний. У каждого испытания 2 варианта : промах или попадание(
).
Решаем по формуле Бернулли:
n = 8
m = 3
p =
≈ 0,7
q = 1 - p =
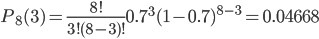
Формулы Бернулли (см. рис.) + формула Бернулли с твоими подставленными числами
Производится 8 выстрелов.
Нужно найти вероятность поражения хотя бы 3 раз.
Итак. Производится 8 независимых испытаний. У каждого испытания 2 варианта : промах или попадание(
Решаем по формуле Бернулли:
n = 8
m = 3
p =
q = 1 - p =
Формулы Бернулли (см. рис.) + формула Бернулли с твоими подставленными числами
Приложения:


Вас заинтересует
2 года назад
2 года назад
7 лет назад
7 лет назад
10 лет назад
10 лет назад
10 лет назад