ПОЖАЛУЙСТА!!!С РИСУНКОМ!!!
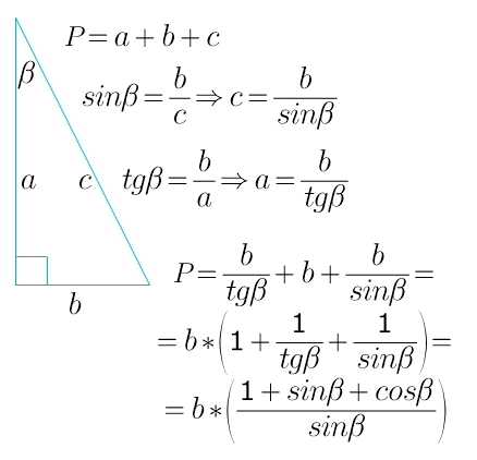
в прямоугольном треугольнике катет равен b, а противолежащий ему угол-бетта. выразите периметр треугольника через b и бетта.
Ответы
Ответ дал:
0
особо рисовать тут и нечего)))
Приложения:

Ответ дал:
0
СПАСИБО ВАМ ОГРОМНОЕ!!!
Вас заинтересует
2 года назад
2 года назад
7 лет назад
9 лет назад
9 лет назад
10 лет назад