Помогите найти область значений ф-ии:
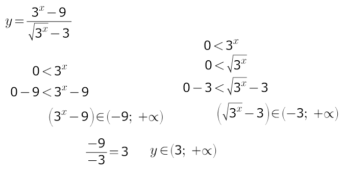
y=3^(x)-9/√(3^x)-3.
В числителе: 3 в сепени (x) минус 9
В знаменателе: корень (из 3 в степени x) минус 3
Ответы
Ответ дал:
0
нужно отдельно оценить числитель, отдельно знаменатель,
начиная с множества значений функции 3^x
начиная с множества значений функции 3^x
Приложения:


Вас заинтересует
7 лет назад
10 лет назад
10 лет назад