преобразовать в многочлен 2*(a-3)^2-2a^2
Разложите на множители
1) x^4-16x^2
2) -4x^2-8xy-4y^2
Упростите выражение и найдите его значение при x=-2
(x+5)*(x^2-5x+25)-x*(x^2+3)
Представьте в виде произведения:
1) (a-5)^2-16b^2
2) x^2-y^2-5x-5y
3) 27-x^9
Значок '^' в данном случае, означает степень
❗ЭТО ОЧЕНЬ СРОЧНО ❗
Ответы
Ответ дал:
0
решение на фото..........
Приложения:

Ответ дал:
0
2*(a-3)²-2a²=2(а²-6а+9)-2а²=2а²-12а+18-2а²=-12а+18
Разложите на множители
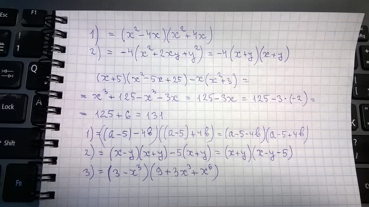
1) x^4-16x²=х²(х²-16)=х²(х-4)(х+4)
2) -4x²-8xy-4y²=-4(х²+2ху+у²)=-4(х+у)²
Упростите выражение и найдите его значение при x=-2
(x+5)*(x²-5x+25)-x*(x²+3)=х³+125-х³-3х=125-3·(-2)=125+6=131
Представьте в виде произведения:
1) (a-5)²-16b²=(а-5-4b)(a-5+4b)
2) x²-y²-5x-5y=(x-y)(x+y)-5(x+y)=(x+y)(x-y-5)
3) 27-x^9=3³-(x³)³=(3-x³)(9+3x³+x^60
Разложите на множители
1) x^4-16x²=х²(х²-16)=х²(х-4)(х+4)
2) -4x²-8xy-4y²=-4(х²+2ху+у²)=-4(х+у)²
Упростите выражение и найдите его значение при x=-2
(x+5)*(x²-5x+25)-x*(x²+3)=х³+125-х³-3х=125-3·(-2)=125+6=131
Представьте в виде произведения:
1) (a-5)²-16b²=(а-5-4b)(a-5+4b)
2) x²-y²-5x-5y=(x-y)(x+y)-5(x+y)=(x+y)(x-y-5)
3) 27-x^9=3³-(x³)³=(3-x³)(9+3x³+x^60
Приложения:

Вас заинтересует
2 года назад
2 года назад
7 лет назад
7 лет назад
10 лет назад
10 лет назад