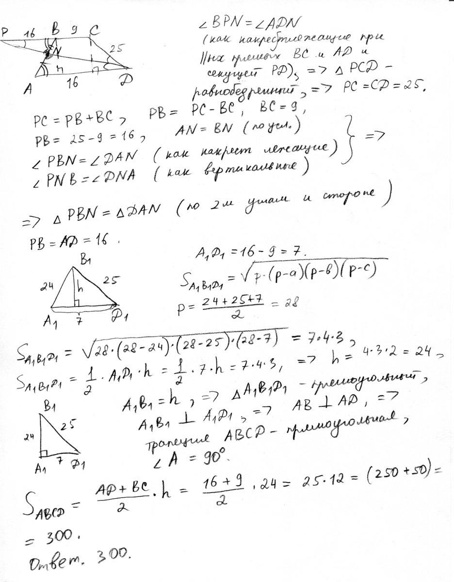
боковые стороны ab и ct трапеции abct равны соответственно 24 и 25, а основание bc равно 9. биссектриса угла adc проходит через середину стороны ab.
найдите площадь трапеции.
Объясните пожалуйста понятно.
Ответы
Ответ дал:
0
geometry, см. прикрепленный файл
Приложения:

Вас заинтересует
2 года назад
2 года назад
7 лет назад
9 лет назад
10 лет назад