знайти площу Фігури обмеженої лініями найти площадь Фигуры ограниченной линиями...І график
Срочно!))
Приложения:

Ответы
Ответ дал:
0
1

2

3
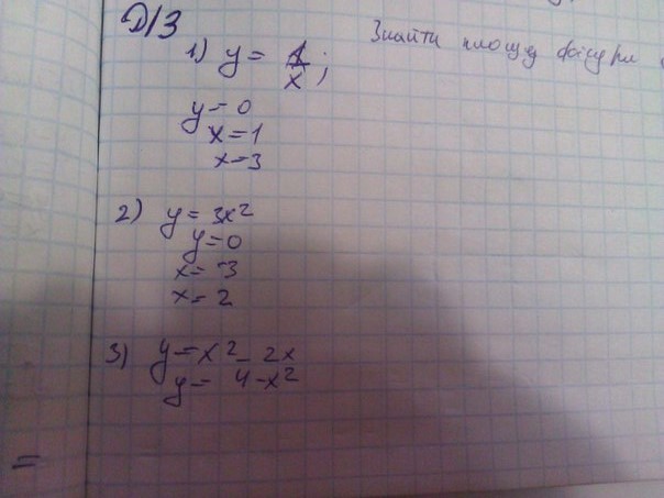
Найдем пределы интегрирования
x²-2x=4-x²
2x²-2x-4=0
x²-x-2=0
x1+x2=1 U x1*x2=-2
x1=-1 U x2=2
Фигура ограничена сверху параболой у=-х²+4,а снизу параболой у=х²-2х


2
3
Найдем пределы интегрирования
x²-2x=4-x²
2x²-2x-4=0
x²-x-2=0
x1+x2=1 U x1*x2=-2
x1=-1 U x2=2
Фигура ограничена сверху параболой у=-х²+4,а снизу параболой у=х²-2х
Вас заинтересует
2 года назад
7 лет назад
10 лет назад