ПОМОГИТЕ ПОЖАЛУЙСТА!Пропустила год 11 класса в колледже ,дали контрольную если не сдам завтра отчислят а мне этого ненужно,пожалуйста помогите!!!!
я вообще не понимаю!
Приложения:

Ответы
Ответ дал:
0
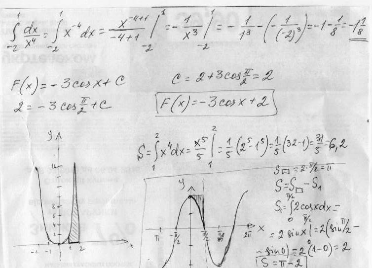
В последнем задании нет полной уверенности!!!!!
Приложения:

Ответ дал:
0
Я люблю Вас!!
Вас заинтересует
2 года назад
7 лет назад
7 лет назад
9 лет назад