• Предмет: Математика
  • Автор: Ksusha117
  • Вопрос задан 10 лет назад

Помогите решить пожалуйста))Буду благодарна

Приложения:

Ответы

Ответ дал: evstifeeva07
0
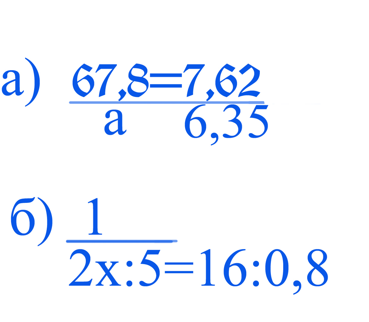
1. 67,8 /а   = 7,62/6,35
    7,62 *а = 6,35*67,8
    7,62 *а = 430,53
    а = 430,53/7,62
    а = 56,5

2.  1/ 2х:5 = 16:0,8
      5/2х =16/0,8
       2х*16 = 5*0,8
      2х  *16 = 4
       2х = 4/16 = 1/4
       х = 1/4 :2
       х=1/8
       


Вас заинтересует