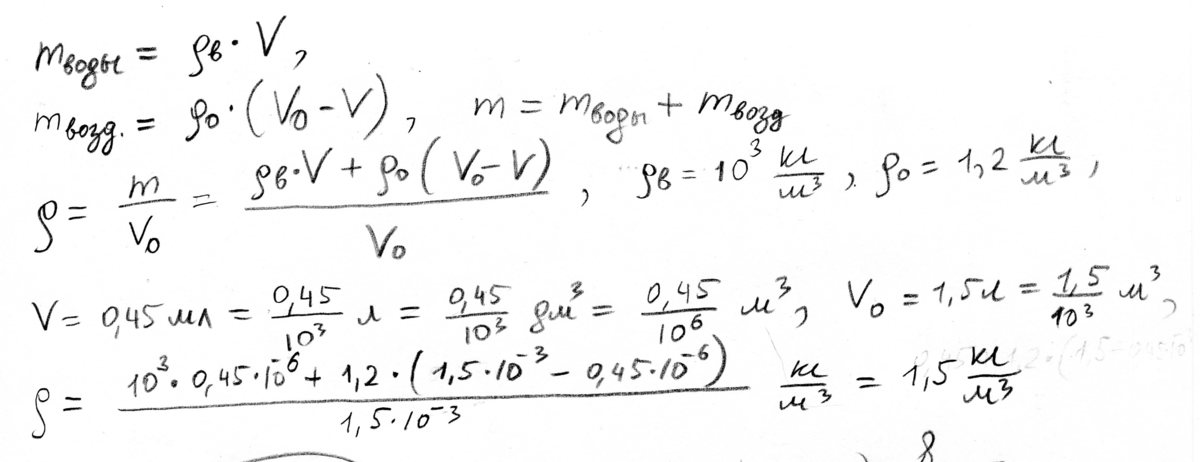
После того, как школьник выпил всю воду из бутылки, в ней осталось V=0,45 мл воды в виде капель на стенках. Он плотно закрыл бутылку и поставил её около окна. Под действием солнечных лучей вся вода внутри бутылки испарилась. Определите плотность получившейся смеси, если первоначальная плотность воздуха составляет ρ0=1,2 кг/м3, а плотность воды — ρв=1000 кг/м3. Ответ выразите в кг/м3, округлив до десятых. Вместимость бутылки равна V0=1,5 л.
Ответы
Ответ дал:
0
смотри ниже файл (изображение).
Приложения:

Вас заинтересует
2 года назад
7 лет назад
9 лет назад
9 лет назад
10 лет назад