Ответы
Ответ дал:
0
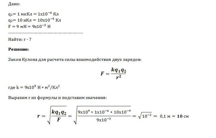
Решение в приложенном файле:
Приложения:

Вас заинтересует
2 года назад
2 года назад
10 лет назад