• Предмет: Алгебра
  • Автор: luckyguy
  • Вопрос задан 11 лет назад

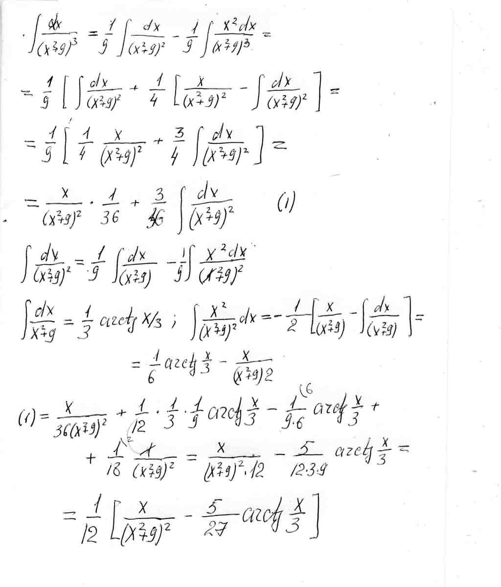
∫dx/(x^2+9)^3

рациональная дробь 4 вида.

Ответы

Ответ дал: Гоша68
0

решение в файле............................

Приложения:
Ответ дал: dtnth
0

Посчитаем интеграл общего вида

I_k=int{frac{1}{(t^2+a^2)^k}}, dt=\\ |u=frac{1}{t^2+a^2}, dv=dt, v=t, du=frac{2kt dt}{(t^2+a^2)^{k+1}}|=\\ frac{t}{(t^2+a^2)^k}+2kint{frac{t^2}{(t^2+a^2)^{k+1}}}, dt=\\ frac{t}{(t^2+a^2)^k}+2kint{frac{(t^2+a^2)-a^2}{(t^2+a^2)^{k+1}}}, dt=\\ 2kI_k-2ka^2I_{k+1}+frac{t}{(t^2+a^2)^k}

 

 k geq 1

Отсюда

I_{k+1}=frac{t}{2ka^2(t^2+a^2)^k}+frac{2k-1}{2ka^2}I_k

учититывая, что

I_1=frac{dx}{x^2+a^2}=frac{1}{a}arctg frac{x}{a}+c

 

Отсюда

I_1=frac{dx}{(x^2+3^2)}=frac{1}{3}arctg frac{x}{3}+C;\\ I_2=frac{dx}{(x^2+3^2)^2}=\\ frac{x}{2*2*9(x^2+9)^2}+frac{2*2-1}{2*2*9}(frac{1}{3}arctg frac{x}{3})+C=\\ frac{x}{36(x^2+9)^2}+frac{1}{36}arctg frac{x}{3}+C;\\ I_3=frac{dx}{(x^2+9)^3}=frac{x}{2*3*9(x^2+9)^3}+frac{2*3-1}{2*3*9}(frac{x}{36(x^2+9)^2}+frac{1}{36}arctg frac{x}{3})+C=\\ frac{x}{54(x^2+9)^3}+frac{7x}{1944(x^2+9)^2}+frac{7}{1944}arctg frac{x}{3}+C

 

Приложения:
Вас заинтересует