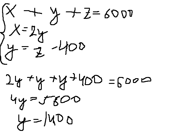
В трёх посёлках 6000 жителей. Во втором посёлке вдвое больше жителей, чем в первом, а в третьем-на 400 жителей болше чем во втором. сколько жителей во втором посёлке?
Ответы
Ответ дал:
1
во втором 1400(в файле я брал второй поселок за у)
Приложения:

Вас заинтересует
1 год назад
1 год назад
2 года назад
2 года назад
7 лет назад
7 лет назад