• Предмет: Математика
  • Автор: Вова12345678
  • Вопрос задан 3 года назад

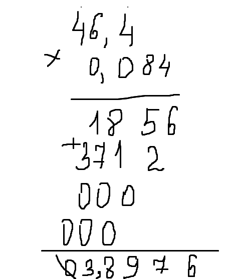
Найдите значение выражения 46,4 · 0,084 + 53,6 · 0,084.

Ответы

Ответ дал: 5mark5
1
ответ 8.4
если нужно решение пиши в каменты

Котик776: 8.4
Котик776: реально это правильно 8.4
Ответ дал: Darling04
0
(46,4*0,084)+(53,6*0,084)=8,4
ниже пример, как решать столбиком
Приложения:

Darling04: только первое действие написала, дальше по примеру
Вас заинтересует