Ответы
Ответ дал:
0
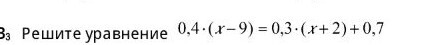
Раскроем скобки:
0,4х-3,6=0,3х+0,6+0,7
0,4х-0,3х=3,6+0.6+0.7
0,1х=4,9
х=4,9:0,1
х=49
0,4х-3,6=0,3х+0,6+0,7
0,4х-0,3х=3,6+0.6+0.7
0,1х=4,9
х=4,9:0,1
х=49
Ответ дал:
0
0,4 умножить (х-9) = 0.3 умножить (х+2)+0.7
0,4х - 3,6 = 0,3х + 0,6 + 0,7
0,4х - 3,6 = 0,3х + 1,3
0,4х - 0,3х = 1,3 + 3,6
0,1х = 4,9
х = 4,9 : 0,1
х = 49
0,4х - 3,6 = 0,3х + 0,6 + 0,7
0,4х - 3,6 = 0,3х + 1,3
0,4х - 0,3х = 1,3 + 3,6
0,1х = 4,9
х = 4,9 : 0,1
х = 49
Вас заинтересует
2 года назад
2 года назад
2 года назад
2 года назад
7 лет назад